化工離心泵葉輪切割定律這些你都知道嗎?
離心泵葉輪切割 很多現場使用的廠家對化工泵葉輪的切割不是太理解。
今天小編就來介紹一下,化工離心泵葉輪外圓車小切割后,對化工泵的工作狀態(tài)有什么變化?
一、流量正比于葉片流道的寬度;
二、揚程正比于葉輪直徑;
三、功率正比于流量、揚程,反比與效率; 所以,葉輪直徑減小后,Q、H、N(流量、揚程、功率)都會有所降低 并且加速降低,效率下降,汽蝕余量卻是會加大。

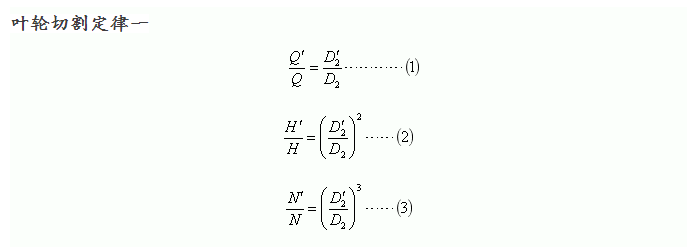
式中:
Q、H、N、D2為葉輪切割前的流量、揚程、軸功率和葉輪外徑。
Q'、H'、N'、D2'為葉輪切割后的流量、揚程、軸功率和葉輪外徑。
以上公式成立的條件是:
1、葉輪切割前后的容積效率不變。
2、葉輪吸入口前液流無預旋,即絕對速度的圓周分量Vu1等于零。
3、切割前后流液相似,速度三角形對應成比例。
4、切割前后葉輪出口寬度相等,即b2'=b2;出口面積不變即F2'=F2。
5、切割前后葉片出口角度不變,即β2'=β2.
從大量的試驗結果來看,4、5兩個條件很難滿足。事實上切割
前后的葉輪出口寬度、面積、葉片出口角有的變化較大,較好大的變化約為10%。
這樣就降低了化工泵葉輪切割定律的計算精度。在實際應用中往往進行保守切割,增加切割次數來確認要求的性能參數。

這里簡單的舉個例子吧:
己知化工泵的葉輪直徑=200mm。流量=45m³/h,軸功率=12kW,求當葉輪直徑切割到=170mm時,流量、揚程、軸功率有什么變化?

較好后再給大家普及一下,經驗修正公式
在實際應用中,推薦大家使用揚程切割公式更加準確。
例題:己知泵的葉輪直徑=300mm。流量=100m³/h, 揚程137,軸功率=57kW,轉速2950,如何達到 揚程 106m, 如何切割?

- 葉輪直徑允許切割量為多少?
- 可以根據如下經驗公式計算:

同類文章排行
- CQB不銹鋼磁力泵安裝注意事項及使用條件
- 化工磁力泵的特點有哪些你知道嗎?
- 化工泵換潤滑油需注意啥?所有廠家都一樣嗎?
- 自吸排污泵安裝注意事項有哪些你知道嗎?
- 耐腐蝕磁力泵如何選型?
- 襯氟離心泵動力密封可否替換成機械密封無需冷
- CQB80-65-160襯氟磁力泵的性能參數是多少?
- 電機功率真的能控制化工泵的流量揚程大小嗎?
- 輸送氫氟酸用什么材質的泵?
- 深入了解氟塑料化工泵結構及選型維護標準
最新資訊文章
- 安徽揚子泵閥商標注冊成功
- 如何延長防腐管道設備的使用壽命
- 耐酸泵安裝虹吸桶原因及原理
- 耐腐蝕離心泵推薦使用集裝式雙端面機封
- 耐酸泵如何延長使用年限
- 氟塑料磁力泵過流部件功能介紹
- 耐腐蝕泵正確安裝管路有哪些要求?
- 氟塑料磁力泵常見優(yōu)缺點分析
- 離心泵為什么要裝止回閥及安裝方式?
- 不銹鋼泵使用有關知識解答
- 氟塑料磁力泵泵軸如何修復
- 化工離心泵的機械密封選擇、裝配及使用
- 不銹鋼磁力泵在食品行業(yè)中的表現
- 膜片聯(lián)軸器和梅花聯(lián)軸器之間區(qū)別
- 化工泵電機過載原因分析
- 氣動隔膜泵和電動隔膜泵工作原理和區(qū)別
- 單螺桿泵維護保養(yǎng)及安裝方法
- 選用塑料泵考慮因素有哪些?
- 化工離心泵管路安裝注意事項
- 液下泵裝配步驟和日常保養(yǎng)維護






已有 0 人評論